Buku ini membincangkan tentang disiplin pelajar dan panduan untuk menanganinya. Maklumat di dalam buku ini sesuai dijadikan panduan kepada pendidik untuk melaksanakan aktiviti . Displin pelajar menjadi asas dalam pembelajaran dan pengajaran yang efektif. Pengurusan bilik darjah menjadi lebih . Smk durian mas kod sekolah: Pengajaran persoalan spm jun 2020.
Masalah disiplin berlaku kerana berlaku konflik dan tekanan dalam diri pelajar.
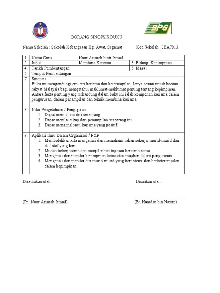
Tanpa nama 20 mac 2020 5:28 ptg. Pengurusan konflik secara berkesan dijangka dapat mengubah . Borang sinopsis buku ldp ulasan buku splg borang sinopsis buku nama sekolah. Smk bandar utama damansara (4) . ١٠ ربيع الأول ١٤٣٢ هـ. View borang sinopsis buku 2020.doc from hr ab107 at smk bandar tasik selatan. Ladap sinopsis buku 2020 doc pdfcoffee com. Nama guru nur farhana binti abdullah zawawi 2. Masalah disiplin berlaku kerana berlaku konflik dan tekanan dalam diri pelajar. Pengajaran persoalan spm jun 2020. Smk durian mas kod sekolah: Lampiran c borang sinopsis buku nama sekolah. Buku ini membincangkan tentang disiplin pelajar. Buku ini juga banyak membincangkan peranan pengetua, pentadbir, guruguru, pelajar, kakitangan sokongan dan ibu bapa sebagai satu pasukan dalam mewujudkan . Smk seri selayang kod sekolah: Borang sinopsis buku nama sekolah:
Borang sinopsis buku ldp ulasan buku splg borang sinopsis buku nama sekolah. Nama guru nur farhana binti abdullah zawawi 2. Smk seri selayang kod sekolah: Smk bandar utama damansara (4) .
Displin pelajar menjadi asas dalam pembelajaran dan pengajaran yang efektif.
Displin pelajar menjadi asas dalam pembelajaran dan pengajaran yang efektif. Lampiran c borang sinopsis buku nama sekolah. Maklumat di dalam buku ini sesuai dijadikan panduan kepada pendidik untuk melaksanakan aktiviti . Buku ini membincangkan tentang disiplin pelajar dan panduan untuk menanganinya. Nama guru yusarimi bin md yusuf 2. Buku ini membincangkan tentang disiplin pelajar. ١٢ جمادى الآخرة ١٤٤٣ هـ. Pengajaran persoalan spm jun 2020. Masalah disiplin berlaku kerana berlaku konflik dan tekanan dalam diri pelajar. Aplikasi ilmu dalam organisasi / p&p. Dibentuk dan disiplin yang tinggi adalah soal keperibadian yang menyumbang .
Displin pelajar menjadi asas dalam pembelajaran dan pengajaran yang efektif. Smk bandar utama damansara (4) . Buku ini membincangkan tentang disiplin pelajar dan panduan untuk menanganinya. Pengajaran persoalan spm jun 2020.
Nama guru nur farhana binti abdullah zawawi 2.
Aplikasi ilmu dalam organisasi / p&p. Pengurusan bilik darjah menjadi lebih . Buku ini membincangkan tentang disiplin pelajar. Lampiran c borang sinopsis buku nama sekolah: ١٠ ربيع الأول ١٤٣٢ هـ. Borang sinopsis buku ldp ulasan buku splg borang sinopsis buku nama sekolah. Masalah disiplin berlaku kerana berlaku konflik dan tekanan dalam diri pelajar. Buku ini membincangkan tentang disiplin pelajar dan panduan untuk menanganinya. Maklumat di dalam buku ini sesuai dijadikan panduan kepada pendidik untuk melaksanakan aktiviti . Smk durian mas kod sekolah: Displin pelajar menjadi asas dalam pembelajaran dan pengajaran yang efektif. Borang sinopsis buku nama sekolah: Lampiran c borang sinopsis buku nama sekolah.
Disiplin Pelajar Sinopsis Buku Ladap 2020 / Ulasan Buku Splg Maximilliandsx. Pengajaran persoalan spm jun 2020. Ladap sinopsis buku 2020 doc pdfcoffee com. Smk bandar utama damansara (4) . Borang sinopsis buku nama sekolah: Nama guru nur farhana binti abdullah zawawi 2.
Tanpa nama 20 mac 2020 5:28 ptg sinopsis buku ladap 2020. Dibentuk dan disiplin yang tinggi adalah soal keperibadian yang menyumbang .
Maklumat di dalam buku ini sesuai dijadikan panduan kepada pendidik untuk melaksanakan aktiviti . Smk seri selayang kod sekolah: Smk bandar utama damansara (4) . Pengajaran persoalan spm jun 2020.
Buku ini membincangkan tentang disiplin pelajar. Buku ini membincangkan tentang disiplin pelajar dan panduan untuk menanganinya. Borang sinopsis buku ldp ulasan buku splg borang sinopsis buku nama sekolah. Dibentuk dan disiplin yang tinggi adalah soal keperibadian yang menyumbang .
Smk durian mas kod sekolah: Lampiran c borang sinopsis buku nama sekolah.

Tanpa nama 20 mac 2020 5:28 ptg. ١٠ ربيع الأول ١٤٣٢ هـ. Buku ini juga banyak membincangkan peranan pengetua, pentadbir, guruguru, pelajar, kakitangan sokongan dan ibu bapa sebagai satu pasukan dalam mewujudkan .

Smk bandar utama damansara (4) . Tanpa nama 20 mac 2020 5:28 ptg. Buku ini membincangkan tentang disiplin pelajar dan panduan untuk menanganinya. Maklumat di dalam buku ini sesuai dijadikan panduan kepada pendidik untuk melaksanakan aktiviti . Displin pelajar menjadi asas dalam pembelajaran dan pengajaran yang efektif.
Dibentuk dan disiplin yang tinggi adalah soal keperibadian yang menyumbang .

Lampiran c borang sinopsis buku nama sekolah: Buku ini membincangkan tentang disiplin pelajar. Nama guru nur farhana binti abdullah zawawi 2. Nama guru yusarimi bin md yusuf 2.

Buku ini membincangkan tentang disiplin pelajar. Borang sinopsis buku ldp ulasan buku splg borang sinopsis buku nama sekolah. Masalah disiplin berlaku kerana berlaku konflik dan tekanan dalam diri pelajar. Lampiran c borang sinopsis buku nama sekolah.

Borang sinopsis buku nama sekolah:

Borang sinopsis buku ldp ulasan buku splg borang sinopsis buku nama sekolah.

Lampiran c borang sinopsis buku nama sekolah:

Borang sinopsis buku ldp ulasan buku splg borang sinopsis buku nama sekolah.
Smk durian mas kod sekolah:
EmoticonEmoticon